Production Standards
Our mission is to provide exceptional antibodies from our production line directly to your lab. We're passionate about the accuracy, efficiency, and consistency of our products. And this is a promise that starts at antibody inception.
Production
We begin our process by reviewing the target. Does the protein have any post-translational modifications we should keep in mind? What are the applications appropriate for this target? What species and samples is the protein expressed? Subcellular location? Structure? Once all considerations have been reviewed, we create our immunogen. It may be the full protein or a small peptide sequence.
We keep tight control over all aspects of the antibody development process and screen for specific antibodies. Each of the intended applications will be tested by our in-house experts. Once the antibody is created, it is rigorously tested.
LEARN MORE about our immunogen design strategies.
Validation
Our team will test each predicted application to ensure that they are valid. We have strict testing criteria for each application and only when those standards are met, do we consider qualification.
Knockout/Knockdown Validation
To ensure the specificity of our antibodies, we have begun the process of validating our antibodies using Knockdown or Knockout samples. An antibody was considered validated if it produced a band (or bands) of the expected molecular weight(s) for the target protein.

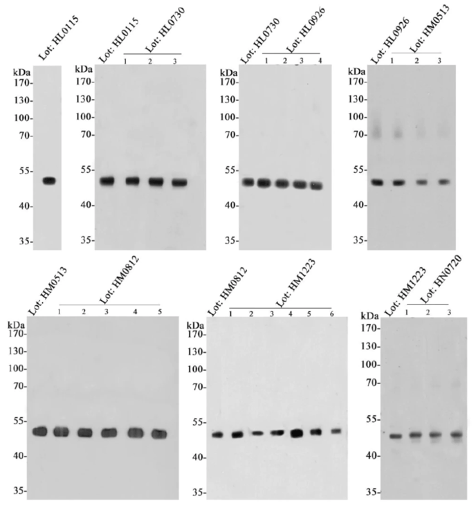
Lot-to-Lot Consistency
As an antibody manufacturer, we evaluate each and every new lot. After each new lot has been successfully produced, we compare the newest batch to the previous. We use the same experimental conditions to review whether the activity and specificity are consistent.

Antibody Stability
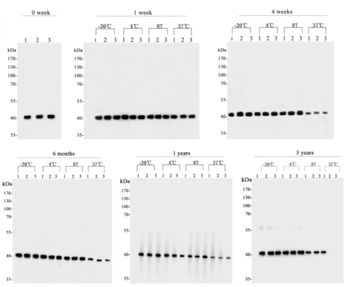
We examined the stability of our antibodies at different storage temperatures for varying lengths of time to verify the stability and quality of antibodies during transportation and storage.

We ship our products with ice packs to provide a controlled environment during transit to ensure stability. We have demonstrated that with a subset of our antibodies, room temperature does not impair their activity for up to three months. This data should assure researchers that product quality should not be affected if your package arrives at ambient temperature. Once you have received the product, please follow the long-term storage instructions detailed on the product datasheet.